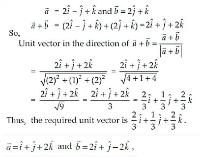
Find the unit vector in the direction of sum of vectors

Question:

Find the unit vector in the direction of sum of vectors

$\vec{a}=2 \hat{i}-\hat{j}+\hat{k}$ and $\vec{b}=2 \hat{j}+\hat{k}$

Solution:

Given vectors are,

Leave a comment