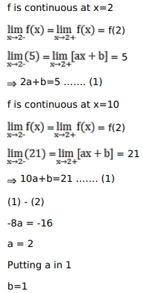
Find the values of a and b such that the following functions continuous

Question:

Find the values of $a$ and $b$ such that the following functions continuous

Solution:

Leave a comment