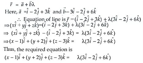
Find the vector equation of the line which is parallel

Question:

Find the vector equation of the line which is parallel to the vector NCERT Exemplar Solutions Class 12 Mathematics Chapter 11 - 4and which passes through the point (1, –2, 3).

Solution:

We know that the equation of line is

Leave a comment