For which of the following ordered pairs

Question:

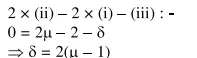
For which of the following ordered pairs $(\mu, \delta)$, the system of linear equations

$x+2 y+3 z=1$

$3 x+4 y+5 z=\mu$

$4 x+4 y+4 z=\delta$

is inconsistent?

  1. $(1,0)$

  2. $(4,6)$

  3. $(3,4)$

  4. $(4,3)$


Correct Option: , 4

Solution:

Leave a comment