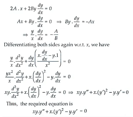
Form the differential equation by eliminating A and B
Question:
Form the differential equation by eliminating A and B in Ax2 + By2 = 1.
Solution:
Given, Ax2 + By2 = 1
Differentiating w.r.t. x, we get
