Question:
If 1 is a zero of the polynomial $p(x)=a x^{2}-3(a-1) x-1$, then find the value of $a$.
Solution:
We know that if $x=\alpha$ is a zero of polynomial then $x-\alpha$ is a factor of $p(x)$
Since 1 is zero of $p(x)$
Therefore, $x-1$ is a factor of $p(x)$
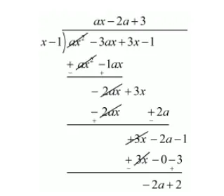
Now, we divide $p(x)=a x^{2}-3(a-1) x-1$ by $x-1$.

Now, Remainder $=0$
$-2 a+2=0$
$-2 a=-2$
$a=\frac{-2}{-2}$
$a=1$
Hence, the value of a is 1