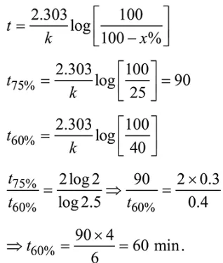
If 75 % of a first order reaction was completed in 90 minutes,
Question:
If $75 \%$ of a first order reaction was completed in 90 minutes, $60 \%$ of the same reaction would be completed in approximately (in minutes) ______________
(Take : $\log 2=0.30 ; \log 2.5=0.40$ )
Solution:
(60)
