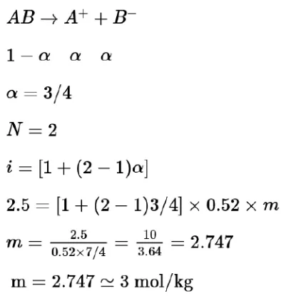
Question:
If a compound $\mathrm{AB}$ dissociates to the extent of $75 \%$ in an aqueous solution, the molality of the solution which shows a $2.5 \mathrm{~K}$ rise in the boiling point of the solution is_________________ molal. (Rounded-off to the nearest integer)
$\left\lceil K_{b}=0.52 \mathrm{~K} \mathrm{~kg} \mathrm{~mol}^{-1}\right]$
Solution:
(3)
