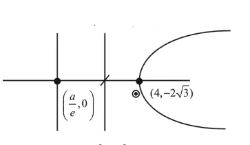
If a directrix of a hyperbola centred at the origin and passing through the point $(4,-2 \sqrt{3})$ is $5 x=4 \sqrt{5}$ and its eccentricity is e, then :
Correct Option: , 3
$\because$ directrix of a hyperbola is,
$5 x=4 \sqrt{5} \Rightarrow x=\frac{4}{\sqrt{5}} \Rightarrow \frac{a}{e}=\frac{4}{\sqrt{5}}$

Now, hyperbola $\frac{x^{2}}{a^{2}}-\frac{y^{2}}{b^{2}}=1$ passes throug $(4,-2 \sqrt{3})$
$\therefore \frac{16}{a^{2}}-\frac{12}{a^{2} e^{2}-a^{2}}=1$
$\left[\because \mathrm{e}^{2}=1+\frac{\mathrm{b}^{2}}{\mathrm{a}^{2}} \Rightarrow \mathrm{a}^{2} \mathrm{e}^{2}-\mathrm{a}^{2}=\mathrm{b}^{2}\right]$
$\Rightarrow \frac{4}{\mathrm{a}^{2}}\left[\frac{4}{1}-\frac{3}{\mathrm{e}^{2}-1}\right]=1 \Rightarrow 4 \mathrm{e}^{2}-4-3=\left(\mathrm{e}^{2}-1\right)\left(\frac{\mathrm{a}^{2}}{4}\right)$
$\Rightarrow 4\left(4 \mathrm{e}^{2}-7\right)=\left(\mathrm{e}^{2}-1\right)\left(\frac{4 \mathrm{e}}{\sqrt{5}}\right)^{2}$
$\Rightarrow 4 \mathrm{e}^{4}-24 \mathrm{e}^{2}+35=0$