If a tangent to the circle

Question:

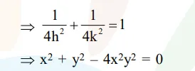
If a tangent to the circle $x^{2}+y^{2}=1$ intersects the coordinate axes at distinct points $\mathrm{P}$ and $\mathrm{Q}$, then the locus of the mid-point of $P Q$ is

  1. $x^{2}+y^{2}-2 x y=0$

  2. $x^{2}+y^{2}-16 x^{2} y^{2}=0$

  3. $x^{2}+y^{2}-4 x^{2} y^{2}=0$

  4. $x^{2}+y^{2}-2 x^{2} y^{2}=0$


Correct Option: , 3

Solution:

Leave a comment