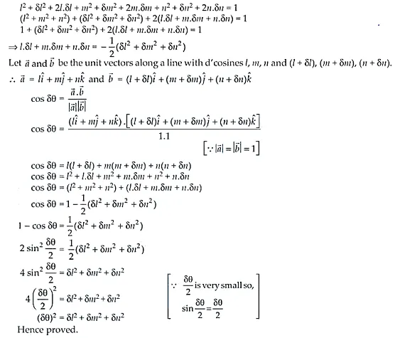
If a variable line in two adjacent positions has direction cosines l,
Question:
If a variable line in two adjacent positions has direction cosines l, m, n and l + dl, m + dm, n + dn, show that the small angle dq between the two positions is given by
dq2 = dl2 + dm2 + dn2
Solution:
Given that l, m, n and l + dl, m + dm, n + dn are the direction cosines of a variable line in two positions
l2 + m2 + n2 = 1 ….. (i) and
(l + dl)2 + (m + dm)2 + (n + dn)2 = 1 …. (ii)
