If $\left(a^{2}+b^{2}\right) x^{2}+2(a b+b d) x+c^{2}+d^{2}=0$ has no real roots, then
(a) ab = bc
(b) ab = cd
(c) ac = bd
(d) ad ≠ bc
The given quadric equation is $\left(a^{2}+b^{2}\right) x^{2}+2(a b+b d) x+c^{2}+d^{2}=0$, and roots are equal.
Here, $a=\left(a^{2}+b^{2}\right), b=2(a b+b d)$ and, $c=c^{2}+d^{2}$
As we know that $D=b^{2}-4 a c$
Putting the value of $a=\left(a^{2}+b^{2}\right), b=2(a b+b d)$ and, $c=c^{2}+d^{2}$
$=\{2(a b+b d)\}^{2}-4 \times\left(a^{2}+b^{2}\right) \times\left(c^{2}+d^{2}\right)$
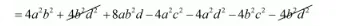
$=4 a^{2} b^{2}+4 b^{2} d^{2}+8 a b^{2} d-4\left(a^{2} c^{2}+a^{2} d^{2}+b^{2} c^{2}+b^{2} d^{2}\right)$

$=4 a^{2} b^{2}+8 a b^{2} d-4 a^{2} c^{2}-4 a^{2} d^{2}-4 b^{2} c^{2}$
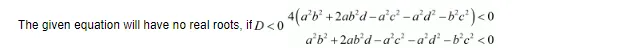
$=4\left(a^{2} b^{2}+2 a b^{2} d-a^{2} c^{2}-a^{2} d^{2}-b^{2} c^{2}\right)$

$a d \neq b c$
Thus, the correct answer is (d)