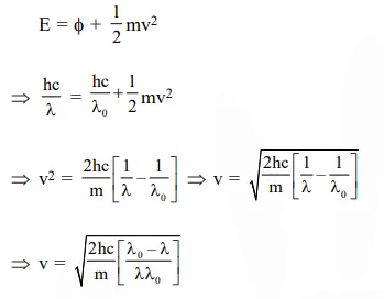
Question: If $\lambda_{0}$ and $\lambda$ be the threshold wavelength and wavelength of incident light, the velocity of photoelectron ejected from the metal surface is :
$\sqrt{\frac{2 \mathrm{hc}}{\mathrm{m}}\left(\frac{\lambda_{0}-\lambda}{\lambda \lambda_{0}}\right)}$
$\sqrt{\frac{2 \mathrm{~h}}{\mathrm{~m}}\left(\frac{1}{\lambda_{0}}-\frac{1}{\lambda}\right)}$
$\sqrt{\frac{2 \mathrm{~h}}{\mathrm{~m}}\left(\lambda_{0}-\lambda\right)}$
$\sqrt{\frac{2 h \mathrm{c}}{\mathrm{m}}\left(\lambda_{0}-\lambda\right)}$
Correct Option: 1
Solution:
