Question:
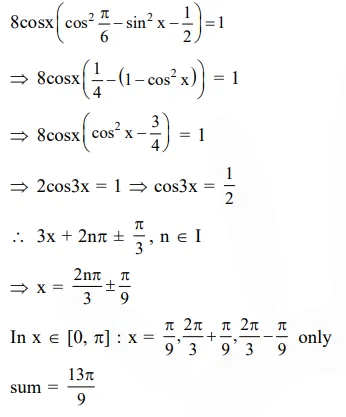
If sum of all the solutions of the equation $8 \cos x \cdot\left(\cos \left(\frac{\pi}{6}+x\right) \cdot \cos \left(\frac{\pi}{6}-x\right)-\frac{1}{2}\right)=1$ in $[0, \pi]$ is $\mathrm{k} \pi$, then $\mathrm{k}$ is equal to :
Correct Option: 1
Solution:
