If the equation $\left(1+m^{2}\right) x^{2}+2 m c x+\left(c^{2}-a^{2}\right)=0$ has equal roots, prove that $c^{2}=a^{2}\left(1+m^{2}\right)$.
The given equation $\left(1+m^{2}\right) x^{2}+2 m c x+\left(c^{2}-a^{2}\right)=0$, has equal roots
Then prove that $c^{2}=\left(1+m^{2}\right)$.
Here,
$a=\left(1+m^{2}\right), b=2 m c$ and,$c=\left(c^{2}-a^{2}\right)$
As we know that $D=b^{2}-4 a c$
Putting the value of $a=\left(1+m^{2}\right), b=2 m c$ and,$c=\left(c^{2}-a^{2}\right)$
$D=b^{2}-4 a c$
$=\{2 m c\}^{2}-4 \times\left(1+m^{2}\right) \times\left(c^{2}-a^{2}\right)$
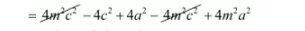
$=4\left(m^{2} c^{2}\right)-4\left(c^{2}-a^{2}+m^{2} c^{2}-m^{2} a^{2}\right)$

$=4 a^{2}+4 m^{2} a^{2}-4 c^{2}$
The given equation will have real roots, if $D=0$
$4 a^{2}+4 m^{2} a^{2}-4 c^{2}=0$
$4 a^{2}+4 m^{2} a^{2}=4 c^{2}$
$4 a^{2}\left(1+m^{2}\right)=4 c^{2}$
$a^{2}\left(1+m^{2}\right)=c^{2}$
Hence,
$c^{2}=a^{2}\left(1+m^{2}\right)$