Question:
If the equation $9 x^{2}+6 k x+4=0$ has equal roots, then the roots are both equal to
(a) $\pm \frac{2}{3}$
(b) $\pm \frac{3}{2}$
(C) 0
(d) $\pm 3$
Solution:
The given quadric equation is $9 x^{2}+6 k x+4=0$, and roots are equal.
Then find roots of given equation.
Here, $a=9, b=6 k$ and,$c=4$
As we know that $D=b^{2}-4 a c$
Putting the value of $a=9, b=6 k$ and, $c=4$
$=(6 k)^{2}-4 \times 9 \times 4$
$=36 k^{2}-144$
The given equation will have equal roots, if $D=0$
$36 k^{2}-144=0$
$36\left(k^{2}-4\right)=0$
$k^{2}-4=0$
$k^{2}=4$
$k=\pm 2$
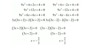
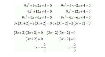
So, putting the value of k in quadratic equation
When $k=2$ then equation be and when $k=-2$ then

Therefore, the value of $x=\pm \frac{2}{3}$
Thus, the correct answer is (a)