If the mean and variance of eight numbers

Question:

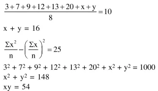
If the mean and variance of eight numbers $3,7,9,12,13,20, x$ and $y$ be 10 and 25 respectively, then $x \cdot y$ is equal to______

Solution:

Leave a comment