If the mean of the following data is 15, find p.
If the mean of the following data is 15, find p.

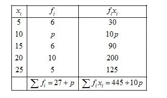
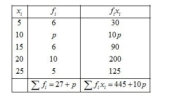
Given:

Also, mean = 15
First of all prepare the frequency table in such a way that its first column consist of the values of the variate $\left(x_{i}\right)$ and the second column the corresponding frequencies $\left(f_{i}\right)$.
Thereafter multiply the frequency of each row with corresponding values of variable to obtain third column containing $\left(f_{i} x_{i}\right)$.
Then, sum of all entries in the column second and denoted by $\sum f_{i}$ and in the third column to obtain $\sum f_{i} x_{i}$.

We know that mean, $\bar{X}=\frac{\sum f_{i} x_{i}}{\sum f_{i}}$
$15=\frac{445+10 p}{27+p}$
By using cross multiplication method
$405+15 p=445+10 p$
$15 p-10 p=445-405$
$5 p=40$
$p=\frac{40}{5}$
$=8$
Hence, $p=8$