Question:
If the mean of the following frequency distribution is 8, find the value of p.

Solution:
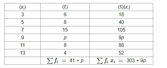
We will make the following table:

We know:
Mean $=\frac{\sum f_{i} x_{i}}{\sum x_{i}}$
Given:
Mean = 8
Thus, we have:
$8=\frac{303+9 p}{41+p}$
$\Rightarrow 328+8 p=303+9 p$
$\Rightarrow p=25$