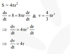
Question: If the surface area of a sphere of radius $\mathrm{r}$ is increasing uniformly at the rate $8 \mathrm{~cm}^{2} / \mathrm{s}$, then the rate of change of its volume is:
proportional to $\mathrm{r}^{2}$
constant
proportional to $\mathrm{r}$
proportional to $\sqrt{r}$
Correct Option: , 3
Solution:
