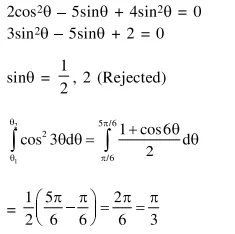
Question:
If $\theta_{1}$ and $\theta_{2}$ be respectively the smallest and the largest values of $\theta$ in $(0,2 \pi)-\{\pi\}$ which satisfy
the equation, $2 \cot ^{2} \theta-\frac{5}{\sin \theta}+4=0$, then
$\int_{\theta_{1}}^{\theta_{2}} \cos ^{2} 3 \theta d \theta$ is equal to :
Correct Option: , 4
Solution:
