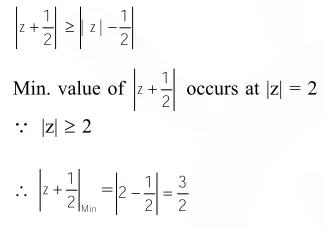
Question: If $z$ is a complex number such that $|z| \geq 2$, then the minimum value of $\left|z+\frac{1}{2}\right|$ :
is equal to $\frac{5}{2}$
lies in the interval (1, 2)
is strictly greater than $\frac{5}{2}$
is strictly greater than $\frac{3}{2}$ but less than
Correct Option: , 2
Solution:
