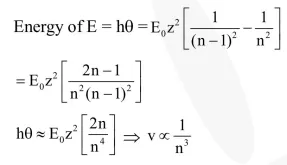
Question:
In a hydrogen like atom electron makes transition from an energy level with quantum number $\mathrm{n}$ to another with quantum number $(n-1)$. If $n \gg 1$, the frequency of radiation emitted is proportional to:
Correct Option: , 4
Solution:
