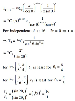
Question:
In the expansion of $\left(\frac{\mathrm{x}}{\cos \theta}+\frac{1}{\mathrm{x} \sin \theta}\right)^{16}$, if $\ell_{1}$ is
the least value of the term independent of $x$
when $\frac{\pi}{8} \leq \theta \leq \frac{\pi}{4}$ and $\ell_{2}$ is the least value of the term independent of $x$ when $\frac{\pi}{16} \leq \theta \leq \frac{\pi}{8}$, then the ratio $\ell_{2}: \ell_{1}$ is equal to :
Correct Option: , 4
Solution:
