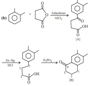
In the following reaction sequence the major products A and $mathrm{B}$ are :

Question:

In the following reaction sequence the major products A and $\mathrm{B}$ are :


Correct Option:

Solution:

Leave a comment