Let a_n be the
Question:
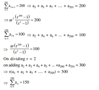
Let $a_{n}$ be the $n^{\text {th }}$ term of a G.P. of positive terms.
If $\sum_{\mathrm{n}=1}^{100} \mathrm{a}_{2 \mathrm{n}+1}=200$ and $\sum_{\mathrm{n}=1}^{100} \mathrm{a}_{2 \mathrm{n}}=100$, then $\sum_{\mathrm{n}=1}^{200} \mathrm{a}_{\mathrm{n}}$
is equal to :
Correct Option: , 4
Solution:
