Let a1, a2, a3,..........be an G.P. such a1 < 0,
Question:
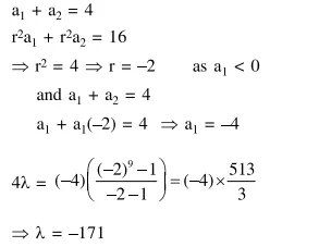
Let $a_{1}, a_{2}, a_{3}, \ldots$ be a G.P. such that $a_{1}<0$,
$a_{1}+a_{2}=4$ and $a_{3}+a_{4}=16 .$ If $\sum_{i=1}^{9} a_{1}=4 \lambda$, then $\lambda$ is equal to :
Correct Option: 1
Solution:
