Question:
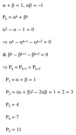
Let $\alpha$ and $\beta$ be the roots of the equation $\mathrm{x}^{2}-\mathrm{x}-1=0$. If $\mathrm{p}_{\mathrm{k}}=(\alpha)^{\mathrm{k}}+(\beta)^{\mathrm{k}}, \mathrm{k} \geq 1$, then which one of the following statements is not true ?
Correct Option: , 4
Solution:
