Let α be a root of the equation
Question:
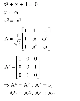
Let $\alpha$ be a root of the equation $x^{2}+x+1=0$
and the matrix $A=\frac{1}{\sqrt{3}}\left[\begin{array}{ccc}1 & 1 & 1 \\ 1 & \alpha & \alpha^{2} \\ 1 & \alpha^{2} & \alpha^{4}\end{array}\right]$, then the matrix $A^{31}$ is equal to:
Correct Option: 1
Solution:
