Let P be a plane passing through the points (2,1,0),(4,1,1)
Question:
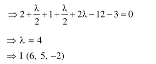
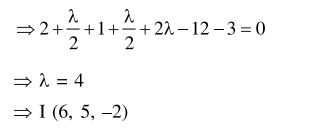
Let $P$ be a plane passing through the points $(2,1,0),(4,1,1)$ and $(5,0,1)$ and $R$ be any point $(2,1,6)$. Then the image of $R$ in the plane $P$ is :
Correct Option: 1
Solution:


