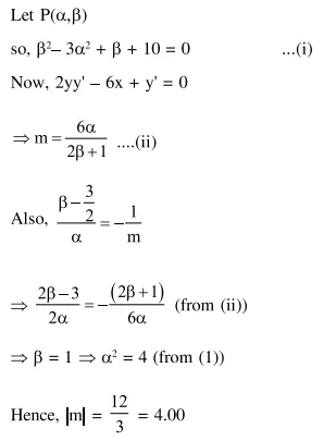
Let the normal at a point P on the curve

Question:

Let the normal at a point $P$ on the curve

$y^{2}-3 x^{2}+y+10=0$ intersect the $y$-axis at $\left(0, \frac{3}{2}\right)$. If $\mathrm{m}$ is the slope of the tangent at $\mathrm{P}$ to the curve, then $|\mathrm{m}|$ is equal to

 

Solution:

Leave a comment