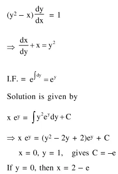
Let y=y(x) be the solution curve of the
Question:
Let $y=y(x)$ be the solution curve of the
differential cquation, $\quad\left(\mathrm{y}^{2}-\mathrm{x}\right) \frac{\mathrm{dy}}{\mathrm{dx}}=1$,
satisfying $\mathrm{y}(0)=1$. This curve intersects the $x$-axis at a point whose abscissa is :
Correct Option: , 3
Solution:
