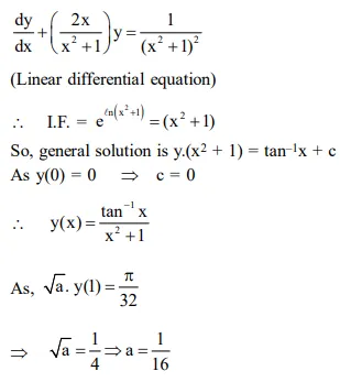
Question: Let $y=y(x)$ be the solution of the differential equation, $\left(x^{2}+1\right)^{2} \frac{d y}{d x}+2 x\left(x^{2}+1\right) y=1$ such
that $y(0)=0$. If $\sqrt{a} y(1)=\frac{\pi}{32}$, then the value of 'a' is:
$\frac{1}{2}$
$\frac{1}{16}$
$\frac{1}{4}$
1
Correct Option: , 2
Solution:
