Question:
Mark $(\sqrt{)}$ against the correct answer in each of the following:
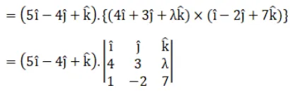
If the volume of a parallelepiped having $\vec{a}=(5 \hat{\mathrm{i}}-4 \hat{\mathrm{j}}+\hat{\mathrm{k}}), \overrightarrow{\mathrm{b}}=(4 \hat{\mathrm{i}}+3 \hat{\mathrm{j}}+\lambda \hat{\mathrm{k}})$ $\overrightarrow{\mathrm{c}}=(\hat{\mathrm{i}}-2 \hat{\mathrm{j}}+7 \hat{\mathrm{k}})$ as conterminous edges, is 216 cubic units then the value of $\lambda$ is
A. $\frac{5}{3}$
B. $\frac{4}{3}$
C. $\frac{2}{3}$
D. $\frac{1}{3}$
Solution:


