Mark against the correct answer in each of the following:
Question:
Mark $(\sqrt{)}$ against the correct answer in each of the following:
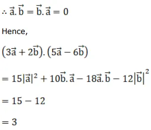
If $\vec{a}$ and $\vec{b}$ are mutually perpendicular unit vectors then $(3 \vec{a}+2 \vec{b}) \cdot(5 \vec{a}-6 \vec{b})=?$
A. 3
B. 5
C. 6
D. 12
Solution:

