Mark against the correct answer in the following:
Question:
Mark $(\sqrt{ })$ against the correct answer in the following:
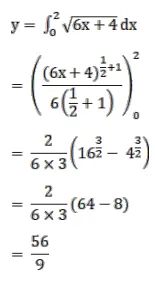
$\int_{0}^{2} \sqrt{6 x+4} d x=?$
A. $\frac{64}{9}$
B. 7
C. $\frac{56}{9}$
D. $\frac{60}{9}$
Solution:
