Mark against the correct answer in the following:
Question:
Mark $(\sqrt{)}$ against the correct answer in the following:
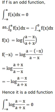
$\int_{-a}^{a} \log \left(\frac{a-x}{a+x}\right) d x=?$
A. $2 a$
B. $a$
C. 0
D. 1
Solution:
