Question:
Mark the tick against the correct answer in the following:
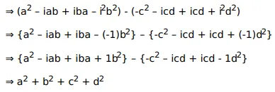
$\left|\begin{array}{cc}a+i b & c+i d \\ -c+i d & a-i d\end{array}\right|=?$
A. $\left(a^{2}+b^{2}-c^{2}-d^{2}\right)$
B. $\left(a^{2}-b^{2}+c^{2}-d^{2}\right)$
C. $\left(a^{2}+b^{2}+c^{2}+d^{2}\right)$
D. none of these
Solution:

