number of values of k, for which the system

Question:

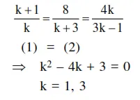
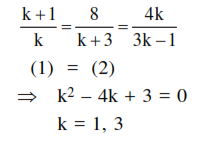
The number of values of $k$, for which the system of equations :

$(k+1) x+8 y=4 k$

$\mathrm{kx}+(\mathrm{k}+3) \mathrm{y}=3 \mathrm{k}-1$

has no solution, is -

  1. infinite

  2. 1

  3. 2

  4. 3


Correct Option: 2,

Solution:

Leave a comment