Question:
Obtain all other zeros of $\left(x^{4}+4 x^{3}-2 x^{2}-20 x-15\right)$ if two of its zeros are $\sqrt{5}$ and $-\sqrt{5}$.
Solution:
The given polynomial is $f(x)=x^{4}+4 x^{3}-2 x^{2}-20 x-15$.
Since $(x-\sqrt{5})$ and $(x+\sqrt{5})$ are the zeroes of $f(x)$, it follows that each one of $(x-\sqrt{5})$ and $(x+\sqrt{5})$ is a factor of $f(x)$.
Consequently, $(x-\sqrt{5})(x+\sqrt{5})=\left(x^{2}-5\right)$ is a factor of $f(x)$.
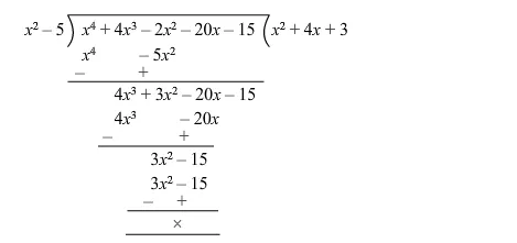
On dividing $f(x)$ by $\left(x^{2}-5\right)$, we get:

$\therefore f(x)=0$
$=>x^{4}+4 x^{3}-7 x^{2}-20 x-15=0$
$=>\left(x^{2}-5\right)\left(x^{2}+4 x+3\right)=0$
$=>(x-\sqrt{5})(x+\sqrt{5})(x+1)(x+3)=0$
$=>x=\sqrt{5}$ or $x=-\sqrt{5}$ or $x=-1$ or $x=-3$
Hence, all the zeros are $\sqrt{5},-\sqrt{5},-1$ and $-3$