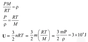
Question: One kg of a diatomic gas is at a pressure of $8 \times 10^{4} \mathrm{~N} / \mathrm{m}^{2}$. The density of the gas is $4 \mathrm{~kg} / \mathrm{m}^{3}$. What is the energy of the gas due to its thermal motion ?
$6 \times 10^{4} \mathrm{~J}$
$7 \times 10^{4} \mathrm{~J}$
$3 \times 10^{4} \mathrm{~J}$
$5 \times 10^{4} \mathrm{~J}$
Correct Option: , 3
Solution:
