One says. "give me hundred, friend! I shall then become twice as rich as you" The other replies, "If you give me ten, I shall be six times as rich as you". Tell me what is the amount of their respective capital?
21. Let the money with first person be Rsx and the money with the second person be Rsy. Then,
$(x+100)=2(y-100)$
$(y+10)=6(x-10)$
If first person gives $R s 100$ to second person then the second person will become twice as rich as first person, According to the given condition, we have,
$(x+100)=2(y-100)$
$x+100=2 y-200$
$x-2 y+100+200=0$
$x-2 y+300=0 \cdots(i)$
if second person gives $R s 10$ to first person then the first person will becomes six times as rich as second person, According to given condition, we have,
$(y+10)=6(x-10)$
$y+10=6 x-60$
$0=6 x-60-y-10$
$0=6 x-y-70 \cdots(i i)$
Multiplying $(i i)$ equation by 2 we get,
$12 x-2 y-140=0 \cdots($ iii $)$
By subtracting $(i i i)$ from $(i)$, we get

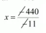
$-11 x=-440$

$x=40$
Putting $x=40$ in equation $(i)$, we get,
$x-2 y+300=0$
$40-2 y+300=0$
$-2 y+340=0$
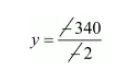
$-2 y=-340$

$y=170$
Hence, first person's capital will be $R s, 40$,
Second person's capital will be $R s .170$.