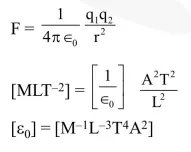
Question: Let $\left[\epsilon_{0}\right]$ denote the dimensional formula of the permittivity of vacuum. If $M=$ mass, $L=$ Length, $\mathrm{T}=$ Time and $\mathrm{A}=$ electric current, then :
$\left[\epsilon_{0}\right]=\left[\mathrm{M}^{-1} \mathrm{~L}^{-3} \mathrm{~T}^{2} \mathrm{~A}\right]$
$\left[\epsilon_{0}\right]=\left[\mathrm{M}^{-1} \mathrm{~L}^{-3} \mathrm{~T}^{4} \mathrm{~A}^{2}\right]$
$\left[\epsilon_{0}\right]=\left[\mathrm{M}^{-1} \mathrm{~L}^{2} \mathrm{~T}^{-1} \mathrm{~A}^{-2}\right]$
$\left[\epsilon_{0}\right]=\left[\mathrm{M}^{-1} \mathrm{~L}^{2} \mathrm{~T}^{-1} \mathrm{~A}\right]$
Correct Option: , 2
Solution:
