Question:
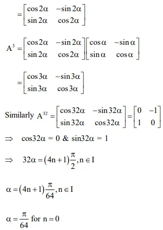
Let $\mathrm{A}=\left(\begin{array}{cc}\cos \alpha & -\sin \alpha \\ \sin \alpha & \cos \alpha\end{array}\right),(\alpha \in \mathrm{R})$ such that $A^{32}=\left(\begin{array}{cc}0 & -1 \\ 1 & 0\end{array}\right) .$ Then a value of $\alpha$ is
Correct Option: , 4
Solution:

