Prove the following

Question:

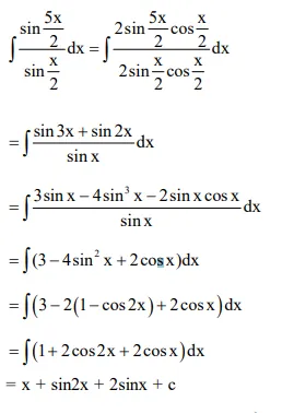
$\int \frac{\sin \frac{5 x}{2}}{\sin \frac{x}{2}} d x$ is equal to :

(where $\mathrm{c}$ is a constant of integration)

Solution:

Leave a comment