Prove the following

Question:

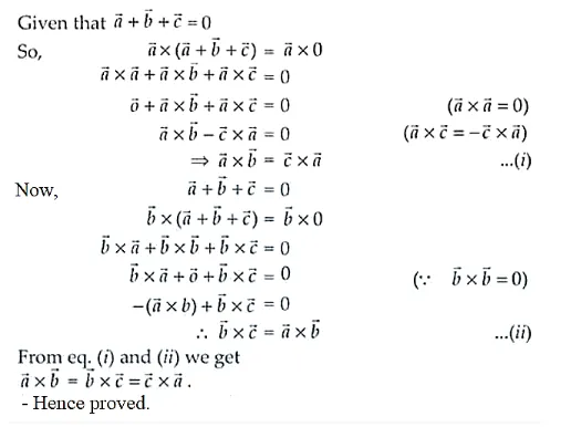
If $\vec{a}+\vec{b}+\vec{c}=0$, show that $\vec{a} \times \vec{b}=\vec{b} \times \vec{c}=\vec{c} \times \vec{a}$. Interpret the result geometrically?

Solution:

Leave a comment