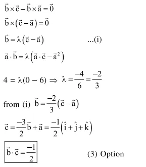
Question:
Let $\overrightarrow{\mathrm{a}}=\hat{\mathrm{i}}-2 \hat{\mathrm{j}}+\hat{\mathrm{k}}$ and $\overrightarrow{\mathrm{b}}=\hat{\mathrm{i}}-\hat{\mathrm{j}}+\hat{\mathrm{k}}$ be two vectors. If $\vec{c}$ is a vector such that $\vec{b} \times \vec{c}=\vec{b} \times \vec{a}$ and $\overrightarrow{\mathrm{c}} \cdot \overrightarrow{\mathrm{a}}=0$, then $\overrightarrow{\mathrm{c}} \cdot \overrightarrow{\mathrm{b}}$ is equal to
Correct Option: , 3
Solution:
