Question:
Show that area of the parallelogram whose diagonals are given by
and
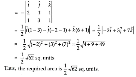
is . Also find the area of the parallelogram whose diagonals are
and
.
$\frac{|\vec{a} \times \vec{b}|}{2}$
Solution:
Let’s take ABCD to be a parallelogram such that

