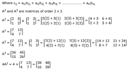
Show that the matrix $A=\left[\begin{array}{ll}2 & 3 \\ 1 & 2\end{array}\right]$ satisfies the equation $A^{3}-4 A^{2}+A=O$.
Share via...
Or copy link
Leave a comment
All Study Material