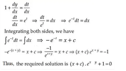
Solve the differential equation
Question:
Solve the differential equation
$\frac{d y}{d x}+1=e^{x+y}$
Solution:
Given differential equation, dy/dx + 1 = ex+y
Substituting x + y = t and differentiating w.r.t. x, we have
